Skip to content Skip to sidebar Skip to footer

How To Find The Vertex Form Of A Parabola : For a parabola in the form vertex:

How To Find The Vertex Form Of A Parabola : For a parabola in the form vertex:. Vertex of a parabola is the coordinate from which it takes the sharpest turn whereas a is the straight line used to generate the curve. Depends on whether the equation is in vertex or standard form. The second form is the more common form. Unfortunately, most parabolas are not in this form. #ax^2 + 2hxy + by^2 + 2gx + 2fy + c = 0# represents a parabola, and my standard form here is.

If the general equation is given for the graph: Given below are the required set of formulae which will help us tackle the problem. How to put a function into vertex form? How to find the vertex of a parabola in standard form | #shortsif you enjoyed this video please consider liking, sharing, and subscribing.udemy courses via how. #ax^2 + 2hxy + by^2 + 2gx + 2fy + c = 0# represents a parabola, and my standard form here is.

Please Help Asap Write The Equation Of The Parabola In Vertex Form A Y X 2 2 4b Y Brainly Com
Please Help Asap Write The Equation Of The Parabola In Vertex Form A Y X 2 2 4b Y Brainly Com from us-static.z-dn.net
It's fairly simple, but there are several methods for finding it and so will be this first form will make graphing parabolas very easy. The vertex of a parabola is a point that represents the extremal value of a quadratic curve. We can plug in x=2 and x=3 to find the respective points. The vertex of parabola is the point from where parabola crosses its axis of symmetry. Given below are the required set of formulae which will help us tackle the problem. Y=a(x−h)^2+k where (h,k) is the max or min. How to find the vertex. You could find the standard form y=ax^2 + bx + c first.

We can plug in x=2 and x=3 to find the respective points.

How to find the vertex. The vertex of parabola is the point from where parabola crosses its axis of symmetry. Please do attempt the quiz at the end of the article to ensure a complete understanding of the topic. A * x^2 + b * x + c = y where a, b, and c are arbitrary real constants. How to find the vertex of a parabola equation | sciencing. The number in brackets gives this means: From the vertex form, it is easily visible where the maximum or minimum point (the vertex) of the parabola is: The quadratic part stands because the most significant power of our variable (x) is two. The vertex of a parabola is a point that represents the extremal value of a quadratic curve. Depends on whether the equation is in vertex or standard form. For graphing, the leading coefficient a indicates how fat or how skinny the parabola will be. It's fairly simple, but there are several methods for finding it and so will be this first form will make graphing parabolas very easy. However, quadratics are not usually written in vertex form.

The vertex is just (h,k) from. The general form of a quadratic is y = ax2 + bx + c. We need a few points to graph this dude. How to put a function into vertex form? You can solve for x by using the square root principle or the quadratic formula (if you simplify the problem into the correct.

Finding A Min Max Value Of A Parabola In Vertex Form Youtube Quadratics Parabola Quadratic Functions
Finding A Min Max Value Of A Parabola In Vertex Form Youtube Quadratics Parabola Quadratic Functions from i.pinimg.com
The general form of a parabola is given by the equation: Two other points let you set up 2 eqs in 2 unknowns and solve for a and b. Y=a(x−h)^2+k where (h,k) is the max or min. It's fairly simple, but there are several methods for finding it and so will be this first form will make graphing parabolas very easy. How to find the vertex of a parabola equation | sciencing. The second form is the more common form. How to find the vertex of a parabola in standard form | #shortsif you enjoyed this video please consider liking, sharing, and subscribing.udemy courses via how. You can get the vertex from the parabola equation (standard form or vertex form).

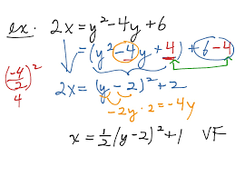
Completing the square and vertex form of quadratic equations how to complete the square and vertex form of quadratic equations is.

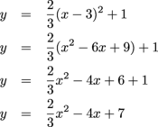
You can solve for x by using the square root principle or the quadratic formula (if you simplify the problem into the correct. We need a few points to graph this dude. Graph vertex form parabolas by adjusting the a, h and k values. You can then easily solve this system of three equations for the values of a, b, and c, and you'll have the equation of the parabola that intersects your 3 points. You can get the vertex from the parabola equation (standard form or vertex form). Changing a parabola from standard to vertex form without completing the square. Completing the square and vertex form of quadratic equations how to complete the square and vertex form of quadratic equations is. The vertex is just (h,k) from. Depends on whether the equation is in vertex or standard form. The vertex form of a parabola's equation is generally expressed as : We tried to cover maximum basic things which one should. Unfortunately, most parabolas are not in this form. • finding the vertex of a parabola by completing the square.

How to find the vertex. It's called 'vertex form' for a reason! The vertex of a parabola is a point that represents the extremal value of a quadratic curve. Given below are the required set of formulae which will help us tackle the problem. The general form of a parabola is given by the equation:

Quadratic Equations Vertex Form Math Algebra Quadratic Equations Showme
Quadratic Equations Vertex Form Math Algebra Quadratic Equations Showme from showme0-9071.kxcdn.com
It's fairly simple, but there are several methods for finding it and so will be this first form will make graphing parabolas very easy. Given below are the required set of formulae which will help us tackle the problem. The general form of a quadratic is y = ax2 + bx + c. We'll discuss how to find this shortly. How to find the vertex of a parabola equation | sciencing. #ax^2 + 2hxy + by^2 + 2gx + 2fy + c = 0# represents a parabola, and my standard form here is. How to find the vertex of a parabola in standard form | #shortsif you enjoyed this video please consider liking, sharing, and subscribing.udemy courses via how. The vertex of a parabola is a point that represents the extremal value of a quadratic curve.

We need a few points to graph this dude.

Given below are the required set of formulae which will help us tackle the problem. How to find the vertex of a parabola in standard form | #shortsif you enjoyed this video please consider liking, sharing, and subscribing.udemy courses via how. Depends on whether the equation is in vertex or standard form. You mean how to find the vertex of a parabola using the standard form ? You can complete the square to convert ax2 + bx + c to vertex form, but, for finding the. Unfortunately, most parabolas are not in this form. Finding vertex from standard form. Therefore, it is of the form $y = ax^2 + b$. In order to graph a parabola, we need to find several pieces of information, including the vertex. • finding the vertex of a parabola by completing the square. Parabola is the graphical representation of a quadratic equation…. Y=a(x−h)^2+k where (h,k) is the max or min. Mit grad explains how to find the vertex of a parabola.